Soal Uts Matematika Kelas 10 Beserta Kunci Jawaban

Soal Uts Matematika Kelas 10 Beserta Kunci Jawaban

Soal Uts Matematika Kelas 10 Beserta Kunci Jawaban.

Contoh Soal Bahasa Inggris Kelas 11 Beserta Jawaban Nya ...
Contoh Soal Bahasa Inggris Kelas 11 Beserta Jawaban Nya ... (Mike Warner)

Soal Matematika Kelas 8 Semester 1 Dan Kunci Jawaban ...

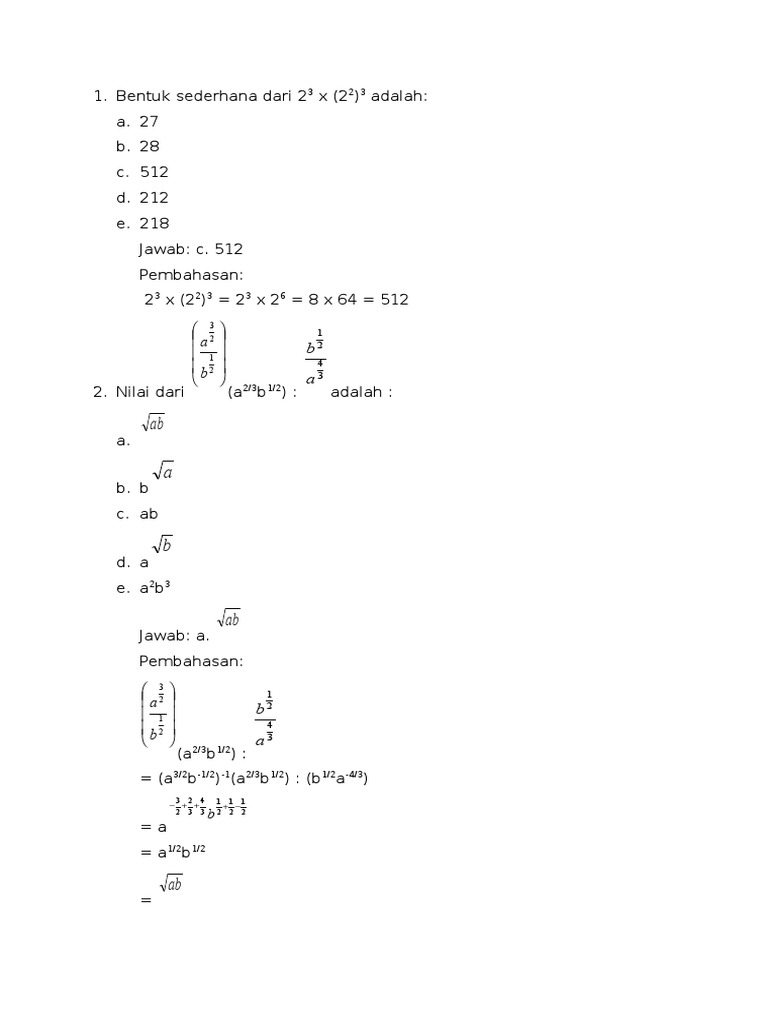
Soal Jawaban Uts Matematika Kelas x

Soal Uts Matematika Kelas 9 Semester 1 Dan Kunci Jawaban ...

Soal Uas Matematika Kelas 5 Semester 2 Dan Kunci Jawaban ...

Soal Hots Matematika Sd Kelas 6 Dan Pembahasannya - SOALNA

Contoh Soal Dan Jawaban Tentang Kerajaan Hindu Budha ...

Contoh Soal Jawaban Singkat Ipa - Kumpulan Contoh Surat ...

Soal UAS Matematika Kelas IV SD dan Kunci Jawabannya ...

Contoh Soal Pilihan Ganda Bahasa Inggris Kelas 10 Semester ...

Share:

Posting Lainnya:

Disqus Comments